NMOS와 PMOS 트랜지스터 차이점 정리
| NMOS 트랜지스터 | PMOS 트랜지스터 |
| 소스 및 드레인은 N 형 반도체로 구성 | 소스 및 드레인은 P 형 반도체로 구성 |
| 기판과 바디는 P 형 반도체로 구성 | 기판 / 바디는 N 형 반도체로 구성 |
| 전자가 대다수 캐리어 (N 형) | 정공이 대다수 캐리어 (P 형) |
| 임계 전압은 양수 | 문턱 전압은 음수 |
| 전자의 이동성이 정공의 이동성보다 크기 때문에 더 빠르게 전환 가능 | 구멍이 주요 캐리어이기 때문에 스위칭 속도가 느림 |
NMOS 트랜지스터의 바이어스 방식
바이어스 방식을 사용하기 위해 바디 터미널을 접지 터미널에 연결하였습니다. 소스 터미널 또한 접지와 연결합니다. 그다음 VGS 전압 공급을 접지와 게이트 터미널 사이에 연결합니다. 이것은 제어 전압이 됩니다. 다음으로 소스와 드레인 VDS 사이에 전압 소스를 연결합니다. 이 소스는 트랜지스터가 켜져 있을 때 전류를 공급합니다.


Cut-off 영역 (컷오프 영역)
- Vth > VGS, VDS ≥ 0
- 반전 레이어가 형성되지 않아서 드레인과 소스 사이의 컨덕턴스가 거의 0
- 드레인 전류는 0
- IDS = 0A
- 전류가 흐르지 않기 때문에 MOSFET이 꺼진 상태
- 이때 MOSFET은 개방형 스위치처럼 작동해서 전자 스위치로 작동할 때 사용(디지털 논리소자에서 열린 스위치처럼 동작)
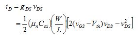
Triode 영역 (선형/옴 영역)
- VGS > Vth, VDS < VGS - Vth
- 선형 저항 소자처럼 동작
- 전류가 드레인 소스 간에 전류 흐름이 존재
- VDS의 값이 증가함에 따라 IDS가 증가
- MOSFET이 이 영역에서 작동하도록 만들어지면 증폭기로 사용이 가능


Saturation 영역 (포화 영역)
- VGS > Vth, VDS > VGS - Vth
- IDS의 포화값이 흐르는 닫힌 스위치처럼 작동
- 전압 제어 전류원 역할(드레인 전류는 데레인 전압에는 무관하고, 게이트 전압에만 의존)
- 부분적 전도 채널 형성
- 소스에서 드레인 근처까지 전도 채널 형성 못함(핀치 오프 현상)
- 핀치 오프(Pinch-off) : VGD=Vth인 상태, 공간 전하층이 넓어져서 채널 반전층이 끝나고 막히는 현상, 전류 포화
- 전류원으로도 사용 가능


I-V 특성 곡선
위의 MOSFET이 동작할 수 있는 세 구간을 드레인 전류와 드레인-소스 전압을 Y축과 X축으로 하여 곡선으로 나타낸 것을 의미합니다. 이것을 이용해 우리가 MOSFET을 어떻게 이용하는지 생각해보고 회로 설계를 시작하게 됩니다.
- 전류가 흐르지 않는 공간 : OFF 영역, Cut-off 영역
- 전류값이 증가하는 구간 : Triode 영역
- 전류값이 더 이상 증가하지 않고 일정하게 유지되는 구간 : Saturation 영역

MOSFET 종류에 따른 영역 구별
| MOSFET 종류 | 영역 | ||
| Cut-Off | Triode / Ohm / Linear | Saturation | |
| N 채널 강화 형 | VGS < Vth | VGS > Vth, VDS < VGS - Vth | VGS > VT, VDS > VGS - Vth |
| P 채널 강화 형 | VGS > -Vth | VGS <-Vth 및 V DS > -(VGS - Vth) | VGS < -VT, VDS <-(VGS - Vth) |
| N 채널 공 핍형 | VGS <-Vth | VGS > -Vth 및 V DS < VGS - Vth | VGS > -VT, VDS > VGS - Vth |
| P- 채널 고갈 유형 | VGS > Vth | VGS <Vth 및 VDS > -(VGS - Vth) | VGS < VT, VDS <-(VGS - Vth) |
회사마다 CMOS 공정이 다릅니다. 이때 무슨 공정을 사용하느냐에 따라 사용이 가능한 Gate전압도 다릅니다. 그래서
I-V 커브 곡선을 제일 먼저 시뮬레이션을 해보아 어떻게 사용하는지 정합니다. 왜냐하면 그 안에도 수많은 수식들이 정해져 있어서 때로는 그 공정에 대해 어떠한 값을 주어야 하는지 모르면 이렇게 I-V 커브 곡선을 통해서 트랜지스터 특성을 알아봅니다.
회로설계와 반도체 관련해서 열심히 공부 중인 예지 블로그입니다.
혹시 틀린 부분이 있으면 댓글 남겨 주세요! 감사합니다.
'Electronic Engineering > MOSFET' 카테고리의 다른 글
| MOSFET의 스위칭(스위치) 특성에 대해 알아보자! (0) | 2020.12.15 |
|---|---|
| MOSFET의 개념 (3) | 2020.12.14 |
| BJT와 MOSFET의 차이 (2) | 2020.09.07 |